新闻与媒体

News and Media

首家过评:yl23411永利集团马来酸曲美布汀片首个通过一致性评价且唯一出口


近日,yl23411永利集团收到国家药品监督管理局签发的诺为® 马来酸曲美布汀片一致性评价的批准通知,标志着此产品通过仿制药质量和疗效一致性评价,将为公司拓展国内市场带来积极影响。


诺为® 马来酸曲美布汀片不仅是首个通过仿制药一致性评价,更是中国第一个出口的马来酸曲美布汀制剂。据公开信息,该产品已于 2023 年 5 月获得加拿大上市许可,并于 1 月 28 日开始向加拿大首批供货。

640.jpg



马来酸曲美布汀是由法国Jouveinal公司研发的胃肠解痉药,片剂于1970年首次在法国上市。目前国内无马来酸曲美布汀片原研产品获批进口。

马来酸曲美布汀是一种合成的抗胆碱能药物,通过非竞争性抑制由于乙酰胆碱引起的收缩作用,以用于治疗胃肠功能紊乱(食欲不振、恶心、呕吐、嗳气、腹胀、腹痛、腹泻、便秘等症状)及肠易激综合征。


据IMS统计,马来酸曲美布汀制剂2022年全球销售31.2亿片,中国销售3.3亿片。


640.png

640 (1).png

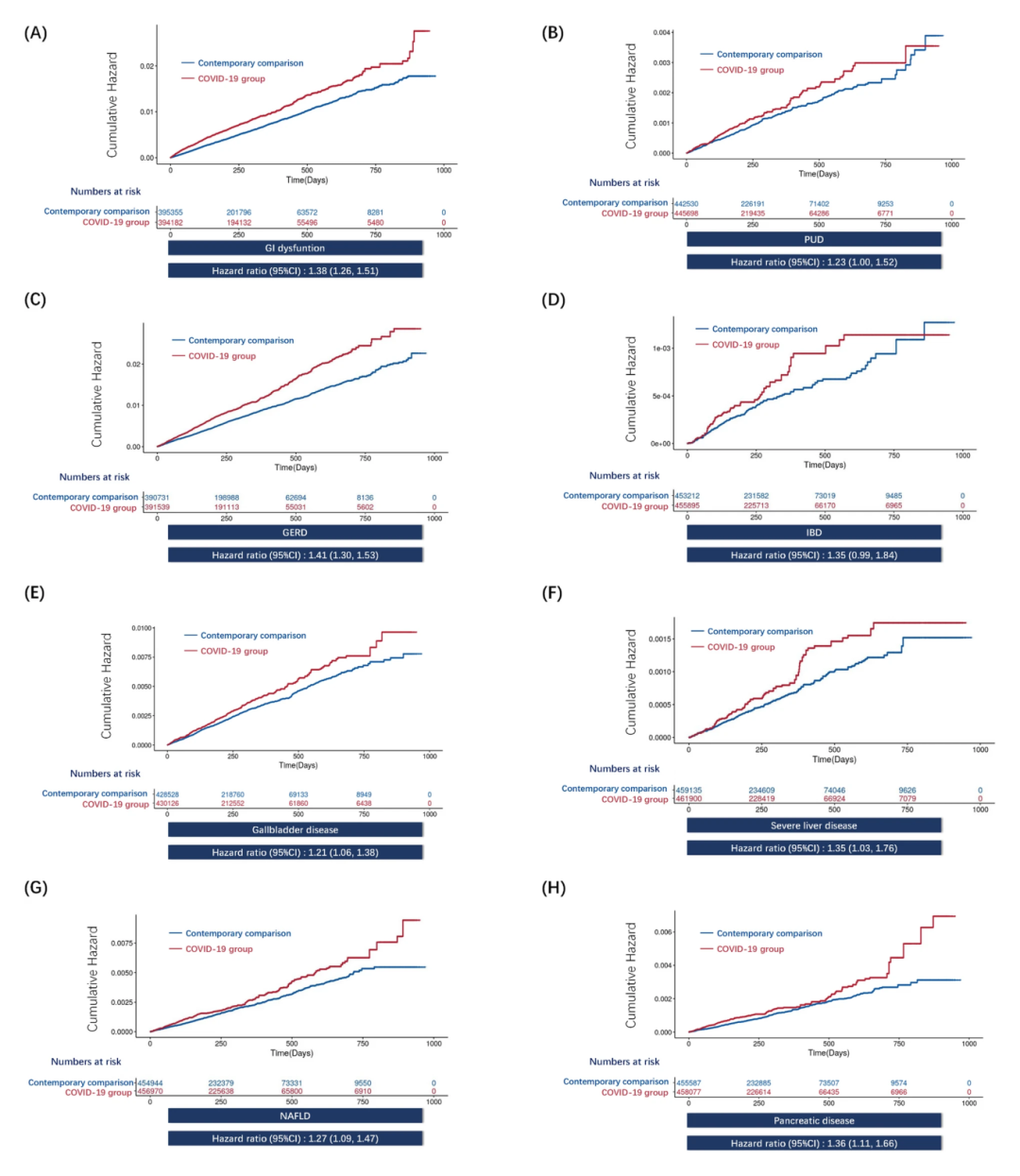
广东省人民医院消化内科沙卫红教授发表在BioMed Central的一项研究[1] 表明,COVID-19 与胃肠道功能障碍(GI dysfunction)、胃食管反流病(GERD)和其他消化系统疾病的风险增加之间存在显着关联。

640 (2).png

640 (3).png


一方面,COVID-19患者在急性期会出现胃肠道症状,据报道,所有消化系统症状的患病率高达9.8%(腹泻为10.4%,恶心为7.7%,腹痛为6.9%)。另一方面,即使在 1 年的随访后,胃肠道功能障碍(GI dysfunction)和胃食管反流病(GERD)的风险仍然存在,这表明 COVID-19 对特定消化系统疾病风险的长期影响。


从以上全球的销售数据也验证了这一点,马来酸曲美布汀制剂自2020年以来全球销售数量逐年增长明显,并高于新冠之前。而中国2022年销售数量小幅下滑,推测这主要得益于政府对疫情的有效管控。随着中国管控的放开,参照先一步放开的其他国家的销售数据,国内对马来酸曲美布汀片的需求将进一步增加。

[上一篇]【资讯】海口药谷创新生态催生产业新枝,yl23411永利集团在创新赛道上坚定前行!
[下一篇]中外共线的注射用盐酸万古霉素国内获批上市!

海南普利-海南省海口市美兰区桂林洋经济开发区

浙江普利-浙江省杭州市临平区经济开发区新洲路78号

安徽普利-安徽省安庆市高新技术产业开发区霞虹路58号

北京普利-北京市石景山区鲁谷东街26号

制剂招商热线:0571-89385177

原料药销售:0571-89385087 / 0571-89385057

服务 (产品研发/CDMO/CMO):17717259789

  • 客服热线 4007-118-158

  • 投资者联系 0898-66661090

扫码关注

  • 企业公众号

  • 抖音

  • 招聘公众号

  • 扫码关注

版权所有 © yl23411永利(中国集团)有限公司-官方网站 琼ICP备11000362号-1